Méthode de caractérisation
Introduction et principe
1. Principe
L’ellipsométrie spectroscopique est une méthode d’analyse optique de surface très sensible permettant de sonder à différentes échelles et à différentes énergies les propriétés physiques et morphologiques d’un échantillon plan. Elle connaît un essor important depuis une centaine d’années [1] et particulièrement ces vingt dernières années avec l’informatique moderne. La technique permet d’obtenir des informations sur la surface d’un échantillon massif, sur le volume d’un film mince ou encore sur les interfaces. L’ellipsométrie présente l’avantage d’être très simple et rapide à mettre en oeuvre, d’être non destructive, de permettre des suivis in-situ et en temps réel et d’être applicable à une très large gamme d’échantillons. La technique de mesure est présentée dans son ensemble dans l’ouvrage de référence de R. M. A. AZZAM et N. M. BASHARA [2].
Le principe de la technique repose sur la mesure du changement de l’état de polarisation [3] d’un faisceau lumineux après réflexion sur une surface. C’est de ce principe que découle la très grande sensibilité de la mesure ainsi que sa large gamme d’utilisation. Ainsi, un ellipsomètre ne mesure physiquement que deux paramètres : l’état de polarisation de la
lumière et l’intensité du rayonnement réfléchi. Les paramètres physiques de l’échantillon analysé sont issus de modèles des interactions onde-matière.

Considérons le cas de la figure 1 représentant une onde plane rencontrant une surface avec un angle d’incidence
. Une partie de l’onde est transmise ou absorbée et une partie est réfléchie par la surface. Le champ électrique ![]()
peut être décomposé suivant un axe
parallèle au plan d’incidence et un axe
perpendiculaire [4] au plan d’incidence [5]. Le champ électrique après réflexion (
) peut être représenté par le coefficient de réflexion de l’échantillon pour une polarisation parallèle
et une polarisation perpendiculaire
:

Les coefficients de réflexion sont des grandeurs complexes. Leur module
représente la modification de l’amplitude de la composante du champ électrique et leur phase
le retard introduit par la réflexion.
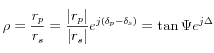
En pratique, la quantité mesurée est le rapport entre le coefficient parallèle et le coefficient perpendiculaire que l’on écrit en ellipsométrie de la manière suivante :

On appelle donc « angles ellipsométriques » les paramètres
et
qui représentent respectivement l’amplitude réfléchie du champ et la différence de phase après réflexion. Après réflexion d’une onde plane sur une surface, l’extrémité du vecteur du champ électrique décrit généralement une ellipse dont l’ellipticité est décrite par
et l’angle de
rotation par
[6]. Les deux paramètres peuvent être mesurés de manière indépendante et absolue, aucune référence n’est nécessaire.
Il existe deux grandes catégories de montage ellipsométrique qui comportent quatre éléments essentiels : une source lumineuse, un polariseur, un analyseur et un détecteur. L’ellipsométrie à extinction comporte un compensateur entre le polariseur et l’échantillon orienté de manière à obtenir une polarisation rectiligne après réflexion. On recherche alors la position angulaire de la polarisation avec l’analyseur par l’extinction du signal. Le couple
est donné par les orientations du polariseur, de l’analyseur et du compensateur. Cette méthode est lente et présente l’inconvénient de travailler toujours au minimum du signal. L’ellipsométrie à modulation permet des mesures rapides sur un large domaine spectral. La présence d’éléments en rotation
implique quelques précautions quant au parfait alignement optique des composants. L’appareil de mesure utilisé dans cette étude est un montage à modulation par polariseur tournant ; c’est pourquoi son principe est décrit de manière sommaire ici.

Les différents états de polarisation du faisceau dans un montage ellipsomètrique à modulation par polariseur tournant sont représentés de manière schématique sur la figure 2. La source fournit une lumière polarisée aléatoirement. La polarisation devient rectiligne après que le faisceau a traversé le polariseur et elliptique après réflexion sur
la surface de l’échantillon. Enfin, elle redevient linéaire après l’analyseur. La position angulaire de l’analyseur étant fixe, il n’est pas nécessaire de disposer d’un détecteur insensible à la polarisation ce qui permet de placer le spectromètre (qui modifie la polarisation du faisceau) entre l’analyseur et le détecteur. [7]

L’état de polarisation du faisceau peut être décrit après chaque élément par le système matriciel de JONES [8] comme le représente la figure 3. Après linéarisation, l’intensité détectée peut s’écrire sous la forme suivante :
![]()
Avec :



Ainsi, dans ce système, les coefficients ellipsométriques
et
ne sont pas fonctions de l’intensité de la lampe ce qui permet de s’affranchir de toute mesure de référence. Les paramètres ellipsométriques sont alors exprimés sous la forme suivante :


Le signal détecté, échantillonné et intégré par quart de période (sommation HADAMARD), permet de remonter directement à
et
(et
). On obtient alors aisément
et
.
2. Appareillage et protocole
L’appareil utilisé dans cette étude est un ellipsomètre SOPRA à modulation par polariseur tournant. Il est constitué d’un bras polariseur intégrant la source lumineuse, une lampe xénon-néon et d’un bras analyseur. Ils sont montés sur un goniomètre permettant de réaliser des mesures multi-angles [9]. Polariseur et analyseur sont montés sur des moteurs pas-à-pas. Les bras
disposent à leurs extrémités de lentilles convergentes (microspots) permettant d’obtenir un faisceau focalisé d’une centaine de micromètres de diamètre pour des mesures sur des dispositifs. L’analyse en énergie est réalisée au moyen d’un spectroscope et d’un photomultiplicateur.
L’appareil est également équipé d’un détecteur proche-infrarouge (NIR, Near InfraRed) permettant d’étendre le spectre mesuré jusqu’à une longueur d’onde de 1,8 µm. Les mesures sont acquises via le logiciel GESPACK v7.99 (Sopra-SA) et sont modélisées avec le logiciel WINELLI v4.07 (Sopra-SA).

La figure 4 représente de manière schématique l’ellipsomètre employé pour l’étude des films minces élaborés. La lumière émise par la source est focalisée via deux miroirs avant de traverser le polariseur tournant à 3 Hz pour toutes nos mesures. Après réflexion sur l’échantillon, le faisceau traverse l’analyseur et est focalisé vers une fibre optique qui le conduit jusqu’au spectroscope. Celui-ci sélectionne la longueur d’onde à mesurer et transmet le faisceau au détecteur approprié.
Pour toutes les mesures présentées dans ces travaux, les mesures ellipsométriques post dépôt sont spectroscopiques : les revêtements sont sondés dans une gamme de longueurs d’onde allant de 240 nm à 840 nm avec des pas de 3 à 10 nm selon l’épaisseur de la couche. Les
mesures sont réalisées à un angle d’incidence
de 75° et le faisceau n’est pas focalisé (pas d’utilisation des microspots). Le temps d’intégration est variable de manière à compter 2.10^6 coups sur le photomultiplicateur pour chaque point de mesure. Il ne peut néanmoins excéder 10 s. Une mesure de bruit est réalisée avant chaque mesure.
3. Modélisation des mesures
Le calcul des paramètres ellipsométriques s’effectue à l’aide du produit matriciel décrivant la propagation de la lumière dans le système étudié : air ambiant, film mince et substrat. Il est nécessaire d’émettre un certain nombre d’hypothèses de départ quant aux profils d’indice
de réfraction et de coefficient d’absorption ainsi que sur les valeurs d’épaisseur du revêtement à analyser (les paramètres du substrat étant connus). Ces paramètres de départ sont alors ajustés de manière à minimiser l’écart avec la mesure.
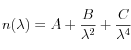
Les profils d’indices de réfraction et de coefficient d’absorption sont décrits pour les matériaux étudiés ici par une loi de CAUCHY :


Où
est exprimé en µm.
Pour un empilement simple, une seule couche mince, l’épaisseur est :

La régression est donc réalisée en itérant les paramètres A, B, C, D, E, F et e.
Les modèles peuvent être complétés par d’autres paramètres comprenant des mélanges, des gradients de propriété, de la rugosité, de la porosité, des pics d’absorption et des interfaces [10].
[1] A. C. HALL. A century of ellipsometry. Surface Science, 16, pages 1–13, 1969.
[2] R. M. A. AZZAM and N. M. BASHARA. Ellipsometry and polarized light. North-Holland
Physics Publishing, 1977.
[3] W. A. SHURCLIFF. Polarized light - Production and use. Harvard University Press, 1962.
[4] L’indice
provient de l’allemand senkrecht.
[5] R. H. MULLER. Definitions and conventions in ellipsometry. Surface Science, 16, pages 14–33, 1969.
[6] R. H. MULLER. Definitions and conventions in ellipsometry. Surface Science, 16, pages
14–33, 1969.
[7] Voir le schéma du montage à la section suivante.
[8] R. M. A. AZZAM and N. M. BASHARA. Ellipsometry and polarized light. North-Holland Physics Publishing, 1977.
W. A. SHURCLIFF. Polarized light - Production and use. Harvard University Press, 1962.
[9] T. E. JENKINS. Multiple-angle-of-incidence ellipsometry. Journal of Physics D : Applied Physics, 32, pages R45–R56, 1999.
[10] E. TOUSSAERE and J. ZYSS. Ellipsometry and reflectance of inhomogeneous and anisotropic media : a new computationally efficient approach. Thin Solid Films, 234, pages 432–438, 1993.
B. DREVILLON. Phase modulated ellipsometry from the ultraviolet to the infrared : in situ application to the growth of semiconductors. Progress in Crystal Growth and Charatcerization, 27, pages 1–87, 1993.
V. V. FILIPPOV and V. P. KUTAVICHUS. Determination of anisotropic film thickness, complex reflective indices and their dispersion from reflectance spectra. In the International Society for Optical Engineering Proceedings of SPIE, editor, Polarimetry and Ellipsometry, volume 3094, pages 349–353, Poland, 1996.
M. SCHUBERT and B. RHEINLÄNDER. Application of generalized ellipsometry to complex optical systems. In the International Society for Optical Engineering Proceedings of SPIE, editor, Polarimetry and Ellipsometry, volume 3094, pages 255–265, Poland, 1996.
V. A. TOLMACHEV. Ellipsometry for correct determining the void fraction and true refractive index of thin films. In the International Society for Optical Engineering Proceedings of SPIE, editor, Polarimetry and Ellipsometry, volume 3094, pages 288–294, Poland, 1996.
Le contenu de cet article est une reproduction numérique en ligne de la thèse de Mathias Borella soutenue en octobre 2006. Seules les informations délivrées dans l'édition papier du manuscrit font foi, sont valides et vérifiées. En cas de doute, merci de vous y référer.
Cet article a été publié en ligne pour la première fois en Mars 2009. Il a été passé en revue pour la dernière fois le 2 mars 2009.
Messages
1. 2.2 Ellipsométrie spectroscopique, 25 février 2011, 14:37
Merci pour cette présentation claire et enrichissante.
Cordialement,
A.TAMISIER