Méthode de caractérisation
Introduction et principe
1. Principe
La spectroscopie infrarouge est un moyen de diagnostic permettant de déterminer la
nature des liaisons chimiques présentes dans une molécule [1]. En effet, l’expérience
montre que certaines fréquences de vibration, dites « fréquences de groupe », sont caractéristiques
de la présence d’un groupement chimique dans la molécule étudiée. La théorie
mécanique des vibrations permet de prévoir l’existence des fréquences de groupe à partir des
ordres de grandeur des différents types de constante de force [2]. Ainsi, la spectroscopie
infrarouge est un très puissant moyen de caractérisation pour identifier des groupements moléculaires et obtenir de nombreuses informations microscopiques sur leur conformation et leurs éventuelles interactions [3].
L’échantillon est soumis à un rayonnement électromagnétique dans la gamme de longueur d’onde du centre infrarouge (2,5 μm <
< 50 μm). Le champ électrique induit par l’onde électromagnétique peut interagir avec un moment dipolaire d’une entité moléculaire présente dans le matériau. Lorsque la fréquence de champ coïncide avec la fréquence de vibration d’un mode propre de la molécule, l’interaction créée engendre la vibration de certaines liaisons et l’absorption de l’énergie de l’onde excitatrice correspondante. La fréquence à laquelle est absorbé le rayonnement dépend de la nature des liaisons, de la masse des atomes concernés et de l’environnement proche du groupement considéré.
Par convention, les spectres infrarouge obtenus expérimentalement ne sont pas indexés en longueur d’onde ou en fréquence mais en nombre d’onde exprimé en
:

Par abus de langage, ce nombre est parfois appelé « fréquence de vibration » ce qui s’explique par la proportionnalité entre fréquence et longueur d’onde :
On peut ainsi exprimer la fréquence de vibration d’un oscillateur en Hertz ou en
. Pour un oscillateur harmonique simple :

_ 2. Appareillage et protocole
Équipement
L’appareillage utilisé utilisé est un spectroscope infrarouge à transformée de Fourier. Il est constitué de quatre éléments fondamentaux : la source infrarouge, un interféromètre, un détecteur et l’électronique de calcul. C’est un spectroscope Thermo Electron-Nicolet type Nexus 870 accompagné du logiciel d’acquisition et de traitement des données OMNIC v6.2 (Nicolet). Sa gamme spectrale s’étend de 7400
à 350
(1,35 μm à 28,6 μm) avec une résolution de 0,125
. Le système comprend également une source laser He-Ne (
= 632,8 nm) qui sert de signal de référence pour le temps d’acquisition des données et pour la mesure du déplacement des différents miroirs optiques de l’appareil.

La figure 1 représente le schéma de principe du fonctionnement de l’appareil. La source ETC (Electronically Temperature Controlled ) EverGloTM émet dans le centre infrarouge et la totalité du rayonnement est envoyée vers un interféromètre de Michelson, le cœur de l’instrument. L’intensité du rayonnement de la source est divisée en deux : 50% retournent à la source et 50% (deux fois 25%) sont recombinés de manière cohérente et envoyés vers l’échantillon. L’intensité des interférences créées par le séparateur de rayons (beamsplitter, semi-réfléchissant composé d’un substrat en KBr recouvert de multiples couches diélectriques, Vectra-PiezoTM) est enregistrée par le détecteur (DTGS TEC, Deuterated TriGlycine Sulfate Temperature Electronically Controlled ) en fonction de la différence de marche induite par le déplacement du miroir mobile (c.-à-d. en fonction du temps) pour constituer un interférogramme. La transformée de Fourier de cet interférogramme permet d’obtenir un graphe dans l’espace des fréquences qui est directement exploitable.
Il existe de nombreuses configurations différentes pour placer l’échantillon entre le faisceau incident et le détecteur [4], chacune ayant une spécificité propre aux informations recherchées et au type d’échantillon (nature et forme) à analyser.
Mesures
L’analyse par spectroscopie d’absorption infrarouge de films minces et ultra-minces est un cas particulier qui pose des problèmes différents de l’analyse d’échantillons massifs. Il existe des techniques dédiées à l’analyse des films ultra-minces et des interfaces [5]. Dans le cas des films minces (de 100 nm à quelques μm) il est tout à fait possible de travailler en transmission totale simple avec quelques précautions. La plupart des échantillons réalisés dans cette étude sont des films minces de polysiloxane sur des tranches polies de silicium monocristallin. Ce type de substrat est relativement bien adapté aux analyses par spectroscopie d’absorption infrarouge dans la mesure où le silicium est transparent dans la gamme de longueur d’onde étudiée. Ce type de substrat convient donc tout à fait pour des analyses de routine. Cependant, la traversée du silicium par le faisceau n’est pas sans incidence sur celui-ci : elle engendre tout de même des perturbations du signal infrarouge. De plus, les tranches de silicium présentent toujours une couche d’épaisseur variable d’oxyde natif. Les liaisons siloxane de l’oxyde absorbant à la même fréquence que les liaisons siloxane
des matériaux étudiés, il peut y avoir interférence entre les deux et perturbation des mesures (épaulements, largeur à mi-hauteur). Ainsi, tous les spectres d’absorption infrarouge présentés ici sont issus de films minces déposés sur KBr parfaitement transparent dans la gamme spectrale étudiée. Cela permet une étude fine et approfondie de la conformation des films minces sans aucune perturbation induite par le substrat. L’analyse étant sensible à la quantité de matériau traversée, tous les spectres infrarouge présentés concernent des films minces d’une épaisseur de 350 nm à plus ou moins 20 nm.
Les mesures sont réalisées en transmission totale avec une incidence normale. La première étape consiste à enregistrer le spectre du substrat seul qui servira de référence au spectre du substrat et du dépôt. L’objectif de cette mesure de référence est double : s’affranchir des absorptions éventuelles du substrat (nulles dans le cas du KBr) et de l’atmosphère de la chambre de mesure et rapporter point par point les intensités des bandes d’absorption à l’intensité du signal incident qui n’est pas constante sur tout le spectre. Bien qu’il s’agisse de mesures en transmission, les spectres sont tracés ici en absorbance par choix. L’absorbance A est l’opposé du logarithme de la transmittance T.
Les mesures sont réalisées dans une gamme de nombres d’onde de 4000 à 400
avec
une résolution de 4
et 120 balayages par spectre. La chambre de mesure est parcourue par un flux d’azote pour limiter les effets de l’absorption des composés atmosphériques.
3. Identification des vibrations
Les relations entre les bandes d’absorption et la structure moléculaire font l’objet d’une importante bibliographie permettant d’indexer les spectres [6]. Cependant, l’état de film mince du matériau et le procédé tout à fait particulier de synthèse amène à des conformations moléculaires originales. Si cette bibliographie permet d’identifier facilement la nature des groupements moléculaires à l’origine de l’absorption, il reste néanmoins préférable de se reporter à des études spécifiques sur ce type de matériaux. La démarche employée pour indexer les spectres des films minces étudiés est développée au cours de l’étude [7] et des besoins. En effet, le cas des polymères plasma est un peu particulier dans la mesure où l’on peut obtenir presque autant de polymères différents que de combinaisons de paramètres opératoires. L’approche consiste donc à se baser sur des références fiables pour identifier les vibrations à partir d’hypothèses quant à la présence de tel ou tel groupement chimique. Ces références peuvent être la molécule de précurseur dont on connaît parfaitement les
groupements qui la composent ou des matériaux standards proches de ceux élaborés par procédé plasma comme les polydiméthylsiloxanes pour les polymères ou la silice pour les matériaux inorganiques.
Il existe une grande variété de vibrations moléculaires. Certaines sont très complexes et peuvent être multiples en fonction de la molécule étudiée. Il existe plusieurs dénominations possibles pour des vibrations identiques et il n’existe pas de standard en vigueur. Les vibrations simples peuvent être classées en deux grands groupes : les vibrations de déformation (bending) et les vibrations d’élongation (stretching) qui se déclinent en fonction de leur symétrie. Le tableau 1 regroupe les symboles employés dans cette étude pour la dénomination des vibrations moléculaires.
| Déformation symétrique dans le plan (scissoring) | |
| Déformation asymétrique dans le plan (rocking) | |
| Déformation symétrique hors du plan (wagging) | |
| Déformation asymétrique hors du plan (twisting) | |
| Elongation symétrique | |
| Elongation asymétrique | |
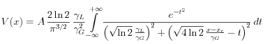
Les bandes d’absorption sont parfois complexes et issues de la somme de plusieurs contributions. Pour isoler les contributions des différentes vibrations dans une bande large, il peut être utile de les déconvoluer mathématiquement. La plupart des mesures spectroscopiques
expérimentales présentant des bandes d’absorption issues de plusieurs contributions peuvent s’exprimer par une somme de gaussiennes, G(x) [8], particulièrement dans le cas des phases condensées. Certains pics d’absorption, notamment ceux issus de vibrations de groupements moléculaires en phase gazeuse, s’expriment mieux par la convolution d’une gaussienne et d’une lorentzienne, L(x) [9]. Cette distribution définit le profil de la fonction de Voigt [10]. L’intégration de cette fonction [11] permet de déterminer les paramètres de description du profil de la fonction. Elle est utilisée ici sous la forme V(x). La figure 2 trace des exemples de ces différents profils.



[1] - W. BRÜGEL. An Introduction to Infrared Spectroscopy. Methuen & Co. Ltd., 1962.
N. B. COLTHUP, L. H. DALY, and S. E. WIBERLEY. Introduction to Infrared & Raman Spectroscopy. Academic Press, 1975.
M. DIEM. Introduction to Modern Vibrational Spectroscopy. Wiley, 1994.
C. N. BANWELL and E. M. MCCASH. Fundamentals of Molecular Spectroscopy. McGraw Hill, 1994.
J. M. BROWN. Molecular Spectroscopy. Oxford University Press, 1998.
[2] - G. HERZBERG. Molecular Spectra and Molecular Structure. In Infrared and Raman Spectra of Polyatomic Molecules. D. Van Nostrand Company, Inc., 1945.
B. WOJTKOWIAK et M. CHABANEL. Spectrochimie Moléculaire. Technique et Documentation, 1977.
H. HAKEN and H. C. WOLF. Molecular Physics and Element of Quantum Chemistry : Introduction to Experiments and Theory. Springer, 1995.
R. L. CARTER. Molecular Symmetry & Group Theory. John Wiley & Sons, 1998.
J. L. MCHALE. Molecular Spectroscopy. Prentice Hall, 1999.
[3] - R. T. CONLEY. Infrared Spectroscopy. Alin and Bacon Inc., 1966.
G. SVEHLA. Comprehensive Analytical Chemistery. In Analytical Infrared Spectroscopy, volume 6. Wilson and Wilson’s, 1976.
P. C. PAINTER and M. M. COLEMAN. The Theory of Vibrational Spectroscopy and Its Applications to Polymeric Materials. Wiley Interscience, 1982.
P. R. GRIFFITHS and J. A. de HASETH. Fourier Transform Infrared Spectroscopy. Wiley, 1986.
D. I. BOWERS andW. F.MADDAMS. The Vibrational Spectroscopy of Polymers. Cambridge University Press, 1989.
N. P. G. ROEGES. A Guide to the Complete Interpretation of Infrared Spectra of Organic Structures. J.Wiley & Sons, 1993.
J. B. LAMBERT, H. F. SHURVELL, D. A. LIGHTNER, and R. G. COOKS. Organic Structural Spectroscopy. Prentice-Hall Inc., 1998.
[4] - P. R. GRIFFITHS and J. A. de HASETH. Fourier Transform Infrared Spectroscopy. Wiley, 1986.
S. F. JOHNSTON. Fourier Transform IR, a constant evolving technology. Ellis Horwood, 1991.
B. C. SMITH. Fundamentals of Fourier Transform Infrared Spectroscopy. CRC Press, 1996.
F. M.MIRABELLA. Modern Techniques in Applied Molecular Spectroscopy. J.Wiley & Sons, Inc., 1998.
J. M. CHALMERS and P. R.GRIFFITHS. The Handbook of Vibrational Spectroscopy, volume 1–2. John Wiley & Sons, Ltd., 2002.
V. P. TOLSTOY, I. V. CHERNYSHOVA, and V. A. SKRYSHEVSKY. Handbook of Infrared Spectroscopy of Ultrathin Films. Wiley-Interscience, 2003.
[5] - V. P. TOLSTOY, I. V. CHERNYSHOVA, and V. A. SKRYSHEVSKY. Handbook of Infrared Spectroscopy of Ultrathin Films. Wiley-Interscience, 2003.
[6] - R. T. CONLEY. Infrared Spectroscopy. Alin and Bacon Inc., 1966.
G. SVEHLA. Comprehensive Analytical Chemistery. In Analytical Infrared Spectroscopy,
volume 6. Wilson and Wilson’s, 1976.
D. R. ANDERSON. Analysis of Silicon, chapter 10 - "Infrared, Raman and ultraviolet Spectroscopy", pages 247–286. John Wiley & Sons, 1974.
L. G. BELLAMY. The Infrared Spectra of Complex Molecules. Chapman and Hall, 1975.
G. SOCRATES. Infrared Characteristic Group Frequencies. John Wiley & Sons Ltd., 1980.
B. SCHRADER. Raman & Infrared Atlas of Organic Compounds. VCH, 1989.
A. H. KUPTSOV and G. N. ZHIZHIN. Handbook of Fourier Transform Raman and Infrared Spectra of Polymers. Elsevier, 1998.
[7] Voir section 4.2 Conformation : du plasma au dépôt
[8] - E.W.WEISSTEIN. Gaussian Function. From MathWorld–A Wolfram Web Resource, 1999.
[9] - E. W. WEISSTEIN. Lorentzian Function. From MathWorld–A Wolfram Web Resource, 1999.
[10] - B. H. ARMSTRONG. Spectrum line profiles : the Voigt Function. Journal of Quantitative Spectroscopy and Radiative Transfer, 7 (1), pages 61–88, 1967.
[11] - H. O. Di ROCCO. The exact expression of the Voigt profile function. Journal of Quantitative Spectroscopy & Radiative Transfert, 92, pages 231–237, 2005.
Le contenu de cet article est une reproduction numérique en ligne de la thèse de Mathias Borella soutenue en octobre 2006. Seules les informations délivrées dans l'édition papier du manuscrit font foi, sont valides et vérifiées. En cas de doute, merci de vous y référer.
Cet article a été publié en ligne pour la première fois en Février 2009. Il a été passé en revue pour la dernière fois le 19 novembre 2014.
Messages
1. 2.1 La spectroscopie infrarouge, 6 janvier 2015, 16:25, par François TIMBERT
Bonjour ,
Je me permets une question qui peut vous paraitre saugrenue .Je m’occupe de maladies végétales en particulier l’escariose .Cette maladie a comme symptome l’envahissement du centre du tronc par des champignons qui empêche la sève de bien circuler .
Peut-on au moyen d’un spectromètre infrarouge visualiser l’ampleur des dégâts sans ouvrir le tronc ?
Merci d’avance
2. 2.1 La spectroscopie infrarouge, 7 mars 2013, 11:49, par pitcha
Bonjour
Est ce que vous pouvez préciser la référence bibliographique de la figure du principe de la spectrométrie d’absorption infrarouge s’il vous plait ?
Merci d’avance